การอ้างอิงสูตรคณิตศาสตร์มีคอลเลกชันสูตรคณิตศาสตร์มากมาย
การอ้างอิงสูตรคณิตศาสตร์เป็นแอปพลิเคชั่นง่าย ๆ ที่ช่วยให้คุณเข้าถึงคอลเลกชันของสูตรคณิตศาสตร์มากมาย
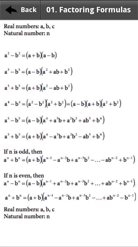
สมการทางคณิตศาสตร์
แอพนี้สามารถช่วยคุณเป็นข้อมูลอ้างอิงอย่างรวดเร็ว (Cheat Sheet) เพื่อให้คุณสามารถเข้าถึงสูตรคณิตศาสตร์ได้ทุกที่ทุกเวลาที่คุณต้องการ
แอพสูตรคณิตศาสตร์นี้เป็นหนึ่งในประเภทที่ครอบคลุมมากที่สุด
การอ้างอิงสูตรคณิตศาสตร์ครอบคลุมหัวข้อต่อไปนี้:
1. ชุดหมายเลข
2. พีชคณิต
3. เรขาคณิต (ระนาบและอวกาศ)
4. ตรีโกณมิติ
5. เมทริกซ์และปัจจัยกำหนด
6. เวกเตอร์
แอพนี้สามารถย้ายไปยังการ์ด SD
โปรดอย่าลังเลที่จะรายงานข้อบกพร่องที่เกี่ยวข้องกับเนื้อหาและแอพนี้
[คำแนะนำการใช้งาน]
1) การอ้างอิงสูตรคณิตศาสตร์เปิด
2) เลือกหัวข้อคณิตศาสตร์ที่คุณต้องการเรียกดู
3) เลือกหัวข้อย่อยที่คุณต้องการดู
4) ดูสูตรที่เกี่ยวข้องกับหัวข้อย่อยที่คุณเลือก